مقدمه
درک و توانایی محاسبه محیط مثلث متساویالاضلاع نه تنها در مدرسه بلکه در زندگی روزمره هم کاربردی است. از یک سینی ساده گرفته تا یک ساختمان بزرگ، همه ما همیشه با هندسه و اشکال هندسی سر و کار داریم. در ریاضیات، هندسه یا در زندگی روزمره، اشکال هندسی همیشه نقش پررنگی دارند و به همین دلیل هم بهتر است آنها را به خوبی بشناسیم و خصوصیات آنها را بدانیم. پس در این مطلب بدون فوت وقت به سراغ معرفی مثلث متساوی الاضلاع و نحوه محاسبه محیط آن به همراه فرمول محیط مثلث متساویالاضلاع میرویم.

مثلث متساوی الاضلاع
مثلثی که تمام اضلاع آن از نظر طول و تمام زوایای آن از نظر اندازه برابر باشند، مثلث متساویالاضلاع نامیده میشود. از آنجایی که تمام زوایای یک مثلث در مجموع 180 درجه است، بنابراین هر زاویه از یک مثلث متساوی الاضلاع باید 60 درجه باشد. در تصویر زیر یک مثلث متساوی الاضلاع به نام ABC را مشاهده میکنید که طول سه ضلع آن با هم برابر است، یعنی Ab = BC = CA. همچنین اندازه هر زاویه 60 درجه است، یعنی
![]()

محیط مثلث متساویالاضلاع
محیط یک مثلث متساویالاضلاع به معنای اندازه دور کل این شکل هندسی است. همانطور که پیشتر هم اشاره کردیم مثلث متساویالاضلاع در هندسه، به مثلثی گفته میشود که هر سه ضلع آن با هم برابر باشند. بنابراین محیط یک مثلث متساویالاضلاع را میتوان با جمع کردن طول تمام اضلاع آن محاسبه کرد.

فرمول محیط مثلث متساوی الاضلاع
به طور کلی محیط مثلث متساوی الاضلاع از جمع اضلاع آن به دست میآید. اما انواع مختلف فرمول محیط مثلث متساوی الاضلاع وجود دارد که ما هنگام حل مسئله باید آنها را با توجه به دادههای مسئله انتخاب کنیم. بنابراین ما 3 راه برای محاسبه محیط مثلث متساوی الاضلاع داریم که در ادامه آنها را بیشتر بررسی میکنیم.
- محاسبه محیط مثلث متساوی الاضلاع با استفاده از اندازه اضلاع
- محاسبه محیط مثلث متساوی الاضلاع با استفاده از مساحت
- محاسبه محیط مثلث متساوی الاضلاع با استفاده از ارتفاع
گام به گام، نمونهسوالات، نکات روانشناسی، برنامهریزی تحصیلی، آزمایشهای علمی و …
محاسبه محیط مثلث متساویالاضلاع با استفاده از اندازه اضلاع
فرمول اصلی که برای محاسبه محیط یک مثلث متساوی الاضلاع استفاده میشود، برای مواقعی است که اندازه یک ضلع مثلث را به ما میدهند. پیشتر نیز گفتیم منظور ما از محیط مثلث متساویالاضلاع، مجموع اضلاع آن است. از آنجایی که هر سه ضلع یک مثلث متساویالاضلاع نیز با هم برابر هستند، مجموع سه ضلع یک مثلث متساویالاضلاع a + a + a = 3a میشود.
a : یک ضلع مثلث متساویالاضلاع

فرمول محاسبه محیط متساویالاضلاع
بنابراین فرمول محاسبه محیط متساویالاضلاع با یک ضلع به صورت زیر نوشته میشود:
P = 3a
مثال
محیط مثلث متساویالاضلاع با ضلع 3 واحد را پیدا کنید.
راه حل
با توجه به فرمول محاسبه محیط متساویالاضلاع کافیست اندازه یکی از اضلاع ( در اینجا 3 واحد) را در فرمول زیر قرار دهیم.
P = 3a
P = 3 × 3
واحدP = 9
فرمول محیط مثلث متساویالاضلاع با استفاده از مساحت
یکی از راههای بدست آوردن محیط یک مثلث متساوی الاضلاع، داشتن اندازه مساحت آن و استفاده از فرمول زیر است.

البته باید پیش از آن طول یک ضلع مثلث متساوی الاضلاع را بدست آوریم. بنابراین ابتدا با استفاده از فرمول مساحت مثلث متساویالاضلاع، طول یکی از اضلاع را به دست میآوریم.
فرمول مساحت مثلث متساویالاضلاع: 
پس از آن مقدار a را بدست آورده و آن را در فرمول زیر جاگذاری میکنیم:
P = 3a
مثال
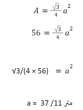
اگر مساحت مثلث متساویالاضلاع 56 متر مربع باشد، محیط آن را پیدا کنید.
راه حل
ضلع مثلث متساویالاضلاع را با جایگزین کردن در فرمول مثلث متساویالاضلاع محاسبه میکنیم. بنابراین
فرمول مساحت مثلث متساویالاضلاع: 
اکنون محیط مثلث متساویالاضلاع را میتوان محاسبه کرد
11/34 = 37 /11 × 3 متر
محاسبه محیط مثلث متساوی الاضلاع با استفاده از ارتفاع
محیط متساوی الاضلاع را میتوان با توجه به ارتفاع مثلث نیز محاسبه کرد. در این حالت میتوانیم طول ضلع مثلث را با کمک فرمول زیر پیدا کنیم:

پس از یافتن طول ضلع، محیط مثلث متساویالاضلاع را میتوان به راحتی محاسبه کرد.

مثال
اگر ارتفاع مثلث متساوی الاضلاع 6 سانتی متر باشد، محیط آن را بیابید.
راه حل
میدانیم که برای محاسبه مساحت مثلث متساوی الاضلاع ابتدا نیاز به طول ضلع آن داریم. بنابراین، طول ضلع مثلث را میتوان با جایگزین کردن مقدار ارتفاع در فرمول زیر محاسبه کرد.

حال، محیط مثلث متساویالاضلاع را میتوان محاسبه کرد،
P = 3a
P = 92/6 × 3
بنابراین محیط مثلث متساویالاضلاع مذکور برابر با 76/20 سانتیمتر است.
در آخر
در این مطلب با مثلث متساویالاضلاع و چگونگی به دست آوردن محیط آن آشنا شدیم. همچنین فرمولهای محاسبه محیط مثلث متساویالاضلاع را به همراه مثال و تمرین معرفی کردیم. اگر شما نیز در به دست آوردن محیط مثلث متساویالاضلاع ضعیف هستید و نیاز به راهنمایی دارید، پیشنهاد میکنیم مطالعه این مطلب را از دست ندهید.
عالی