مقدمه
اگر به تاریخچهی ریاضیات نگاهی بیندازیم، معادلههای درجه دوم از قدیمیترین معادلاتی هستند که انسانها به حل آنها پرداختهاند. شاید برایتان جالب باشد که بابلیها، یونانیها و هندیها هزاران سال پیش به روشهایی برای حل این معادلات دست یافته بودند. اما آنچه امروزه در مدارس و دانشگاهها میآموزیم، نتیجهی تکامل همین تلاشهاست.
یکی از مهمترین ابزارهایی که به ما کمک میکند ماهیت و تعداد جوابهای معادله درجه دوم را بدون محاسبهی مستقیم پیشبینی کنیم، چیزی است که به آن دلتا (Δ) میگوییم. دلتا مانند یک چراغ راهنما عمل میکند: کافی است مقدارش را حساب کنیم تا بلافاصله بفهمیم که معادله چند جواب دارد و این جوابها چه نوعی هستند (حقیقی، مختلط یا تکراری).
در ادامه گامبهگام پیش میرویم تا ابتدا فرم کلی معادله درجه دوم را بشناسیم، سپس به تعریف دقیق دلتا برسیم و بعد کاربردهای آن را بررسی کنیم.
معادله درجه دوم و فرمول کلی ریشهها
یک معادلهی درجه دوم به شکل کلی زیر نوشته میشود:
a x² + b x + c = 0
در این رابطه:
- عدد a ضریب جملهی درجه دوم است (و نباید صفر باشد).
- عدد b ضریب جملهی درجه اول است.
- عدد c جملهی ثابت است.
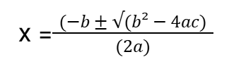
برای حل چنین معادلهای، ریاضیدانان فرمولی عمومی به دست آوردهاند که به ما امکان میدهد ریشهها را فقط با جایگذاری ضرایب به دست آوریم. این فرمول معروف به فرمول حل معادله درجه دوم است:

این فرمول دو جواب برای x تولید میکند، زیرا علامت ± نشاندهندهی دو حالت جمع و تفریق است. اما همانطور که میبینید، زیر رادیکال عبارتی به نام (b² – 4ac) قرار گرفته که نقشی کلیدی در ماجرا دارد. همین عبارت همان چیزی است که ما آن را دلتا (Δ) مینامیم.
تعریف دقیق دلتا (Δ یا D)
دلتا در حقیقت همان عبارت زیر رادیکال در فرمول درجه دوم است:
Δ = b² – 4ac
این مقدار بهتنهایی تعیین میکند که معادلهی درجه دوم چه نوع ریشههایی خواهد داشت. چرا؟ چون وجود ریشههای حقیقی به مثبت یا منفی بودن مقدار زیر رادیکال بستگی دارد.
- اگر Δ مثبت باشد، جذر آن (Δ√) یک عدد حقیقی است و بنابراین دو ریشهی حقیقی و متفاوت خواهیم داشت.
- اگر Δ صفر شود، جذر آن نیز صفر است و معادله تنها یک ریشهی حقیقی (مضاعف) دارد.
- اگر Δ منفی باشد، دیگر نمیتوان ریشهی حقیقی برای آن یافت و وارد دنیای ریشههای مختلط میشویم.
به همین دلیل دلتا مانند یک کلید یا فیلتری عمل میکند که قبل از محاسبهی ریشهها، ماهیت آنها را به ما میگوید.
اثبات فرمول دلتا با روش تکمیل مربع
ما معادلهی درجه دوم را به شکل کلی زیر شروع میکنیم:
a x² + b x + c = 0
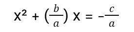
مرحله ۱: سادهسازی معادله
اول باید طرفین معادله را بر a تقسیم کنیم (به شرطی که a ≠ 0 باشد). در نتیجه داریم:
![]()
مرحله ۲: انتقال جملهی ثابت
جملهی ثابت
را به طرف دیگر معادله میبریم:
![]()
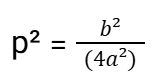
مرحله ۳: تکمیل مربع
اینجا کلید اصلی ماجراست! برای اینکه سمت چپ یک مربع کامل شود، باید جملهای اضافه کنیم.
ما میدانیم:
اگر بخواهیم عبارت را به چنین شکلی درآوریم، باید مقدار p را طوری انتخاب کنیم که:
![]()
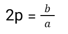
پس داریم:
بنابراین جملهای که باید اضافه کنیم این است.

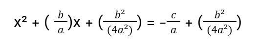
مرحله ۴: اضافه و کم کردن جملهی مورد نیاز
اگر این جمله را به سمت چپ اضافه کنیم، باید همان را از سمت راست هم کم کنیم تا معادله تغییر نکند. در نتیجه:

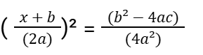
مرحله ۵: تبدیل به مربع کامل
سمت چپ اکنون به یک مربع کامل تبدیل میشود:
![]()
مرحله ۶: گرفتن جذر طرفین
از هر دو طرف معادله جذر میگیریم:

مرحله ۷: جداسازی x
حالا
را به سمت راست منتقل میکنیم:

نتیجه: ظهور دلتا
همانطور که میبینید، در این فرمول عبارت زیر رادیکال (b² – 4ac) بهطور طبیعی پدید آمد که ما آن را دلتا (Δ) مینامیم.
Δ = b² – 4ac
این همان فرمولی است که در ابتدای کار داشتیم، اما اکنون میدانیم چرا درست است و چگونه از دل عملیات ریاضی بیرون آمده است.
جمعبندی
فرمول دلتا، یکی از مهمترین ابزارهای ریاضیات در حل معادلات درجه دوم است. این فرمول با معرفی عبارت Δ = b² – 4ac به ما اجازه میدهد بدون محاسبهی مستقیم ریشهها، پیشاپیش بدانیم که معادله چند جواب دارد و این جوابها از چه نوعی هستند. اگر دلتا مثبت باشد، معادله دو ریشهی حقیقی و متمایز دارد؛ اگر برابر صفر شود، یک ریشهی مضاعف به دست میآید؛ و اگر منفی باشد، معادله فاقد ریشهی حقیقی است و تنها جوابهای مختلط خواهد داشت. همین ویژگی ساده و در عین حال قدرتمند، فرمول دلتا را به یکی از پایههای حل مسائل ریاضی تبدیل کرده است.
از سوی دیگر، روش تکمیل مربع نشان داد که دلتا نه یک مفهوم قراردادی، بلکه نتیجهی طبیعی جبر است. وقتی عبارت درجه دوم را بازنویسی میکنیم، بهطور خودکار به (b² – 4ac) میرسیم که دلتا نامیده میشود. این موضوع درک عمیقتری از ماهیت دلتا به ما میدهد و کمک میکند بدانیم چرا و چگونه این فرمول همیشه درست عمل میکند.
در نهایت باید گفت دلتا تنها یک ابزار برای حل معادلات نیست، بلکه پنجرهای است برای دیدن ساختار درونی معادلات درجه دوم. از هندسهی تحلیلی گرفته تا فیزیک و حتی علوم مهندسی و اقتصاد، این فرمول به ما کمک میکند رفتار سیستمها را تحلیل کنیم. به همین دلیل یادگیری دلتا نهتنها برای دانشآموزان و دانشجویان، بلکه برای هر کسی که با علوم پایه سروکار دارد ضروری و کاربردی است.

