مقدمه
آیا تا به حال به این فکر کردهاید که چطور میتوان عددی مثل 64 هزار یا یک دههزارم را سادهتر نوشت؟ یا چگونه میتوان با اعدادی سر و کار داشت که بسیار بزرگ یا بسیار کوچک هستند؟ دنیای ریاضی برای این مسئله، راهحلی شگفتانگیز دارد: اعداد تواندار. این نوع نمایش عدد، نه تنها خواندن و نوشتن آنها را آسان میکند، بلکه اجرای عملیاتهایی مثل ضرب را هم سریعتر و دقیقتر میسازد.
در این مطلب، با زبانی ساده و همراه با مثالهای گامبهگام، به سراغ یکی از پرکاربردترین مهارتهای مرتبط با اعداد تواندار میرویم: ضرب اعداد تواندار. با هم یاد میگیریم که چطور توانها را با هم جمع کنیم، چطور پایهها را ضرب کنیم و چه زمانی کدام قانون را بهکار ببریم. چه دانشآموز باشید، چه علاقهمند به ریاضی در زندگی روزمره، این آموزش میتواند درک شما را از قدرت واقعی توانها چند برابر کند.
اعداد تواندار را بهتر بشناسید
در دنیای ریاضی، وقتی میخواهیم عددی را چند بار در خودش ضرب کنیم، به جای نوشتن ضربهای تکراری، از یک روش ساده و فشرده استفاده میکنیم که به آن توان میگویند. برای مثال، اگر عدد 2 را سه بار در خودش ضرب کنیم، به جای نوشتن 2 × 2 × 2 مینویسیم 2³. در اینجا عدد 2 را پایه و عدد 3 را توان مینامیم.

اعداد تواندار راهی هستند برای نمایش ضربهای تکراری بهصورت خلاصه. این روش نهتنها نوشتن و خواندن را سادهتر میکند، بلکه در انجام محاسبات پیچیده هم کمک زیادی به ما میکند؛ بهویژه وقتی با اعداد بسیار بزرگ یا بسیار کوچک سروکار داریم. مثلاً عدد یک میلیون را میتوان به شکل
و عدد یک هزارم را به صورت
نوشت.
این نمایش خاص در علوم، مهندسی، رایانه و حتی در زندگی روزمره، کاربردهای زیادی دارد. در این بخش، با مفاهیم اولیه و ساختار اعداد تواندار آشنا شدیم. حالا وقت آن است که وارد دنیای ضرب این اعداد شویم و قوانین جذاب و ساده آن را یاد بگیریم.
چرا ضرب اعداد تواندار مهم است؟
ضرب یکی از اصلیترین عملیات ریاضی است، اما وقتی با اعداد تواندار سر و کار داریم، این ضربها شکل و قاعدهی خاصی پیدا میکنند. در علوم پایه، فیزیک، شیمی، اقتصاد و حتی برنامهنویسی، اغلب نیاز داریم با اعدادی مثل
کار کنیم. اگر بلد نباشیم این اعداد را ضرب کنیم، تحلیل و محاسبه خیلی سخت و زمانبر خواهد شد.
بهجای اینکه همیشه اعداد تواندار را به شکل معمولی بنویسیم و بعد آنها را ضرب کنیم (مثلاً 2 × 2 × 2 × 3 × 3 × 3 × 3)، میتوانیم از قواعدی استفاده کنیم که ضرب این اعداد را سریع و ساده انجام دهند. این قواعد، دقیقاً همان چیزی هستند که در ادامهی مقاله بررسی خواهیم کرد.
همچنین، نمایش علمی اعداد که در فیزیک و نجوم بهشدت استفاده میشود، کاملاً وابسته به فهم درست ضرب اعداد تواندار است. برای مثال، فاصلهی بین زمین تا خورشید تقریباً 1.5 ×
کیلومتر است. اگر بتوانیم این نوع اعداد را بهدرستی ضرب کنیم، میتوانیم حجم عظیمی از محاسبات را خیلی راحتتر انجام دهیم.
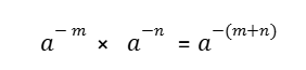
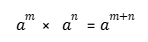
قوانین ضرب اعداد تواندار با پایهی یکسان
وقتی دو عدد تواندار را ضرب میکنیم و پایهی آنها یکی باشد، فقط کافیست توانها را با هم جمع کنیم. بهعبارتی، اگر داشته باشیم:
![]()
در این رابطه، a پایه مشترک است، و m و n توانهایی هستند که باید با هم جمع شوند.
مثالها:

چرا این قاعده درست است؟
بیایید یک مثال را باز کنیم:

حالا اگر این دو را ضرب کنیم:
![]()
در مجموع، هفت بار عدد 2 در خودش ضرب شده است، بنابراین توان نهایی میشود 7.
نکته مهم: این قانون فقط زمانی قابل استفاده است که پایهها یکی باشند. اگر پایهها متفاوت باشند، این قانون کاربرد ندارد و باید سراغ قواعد دیگری برویم.
ضرب ترکیبی اعداد تواندار (پایه و توان متفاوت)
در این حالت، نه پایهها برابرند و نه توانها. بنابراین نمیتوان از قانونهای ساده قبلی استفاده کرد. اما همچنان با تجزیه و بازنویسی میتوان راهحل را پیدا کرد.
فرض کنید دو عدد مثل این داریم:
پایهها متفاوتاند (2 و 3) و توانها هم متفاوتاند (3 و 4). در این شرایط، سادهترین راه این است که هر کدام را جداگانه محاسبه کنیم و سپس حاصل را در هم ضرب کنیم:

استفاده از تجزیه:
اگر اعداد پیچیدهتر باشند، میتوانیم آنها را به صورت حاصلضرب اعداد اول بنویسیم و سپس از قواعد تواندارها استفاده کنیم. مثلاً:
ابتدا تجزیه میکنیم:

حالا داریم:

نتیجهگیری:
در مواردی که توان و پایه متفاوت هستند:
- اگر ساده باشد → هر عدد را جداگانه محاسبه و سپس ضرب کنید.
- اگر بتوانید آنها را به پایههای یکسان تبدیل کنید → از قوانین قبلی کمک بگیرید.
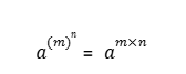
توانِ توان: ضرب چندباره یک عدد تواندار
یکی از مهمترین قوانین در ضرب اعداد تواندار، حالتی است که یک عدد تواندار را دوباره به توان میرسانیم. این حالت را “توانِ توان” یا “توان مرکب” مینامند و با فرمول زیر نشان میدهیم:

یعنی وقتی عددی که خودش تواندار است، دوباره به یک توان دیگر میرسد، کافیست توانها را در هم ضرب کنیم.
مثالها:

چرا این قانون درست است؟
فرض کنیم داریم:

یعنی:

که دقیقاً معادل
است.
حالت کلی:
اگر یک عدد تواندار را n بار در خودش ضرب کنیم:

این قانون برای سادهسازی عبارات بسیار بزرگ یا کوچک بسیار کاربرد دارد و باعث میشود محاسبات پیچیده راحتتر شوند.
ضرب اعداد تواندار منفی
در بسیاری از مسائل ریاضی، مخصوصاً در فیزیک یا شیمی، با اعداد تواندار منفی روبهرو میشویم. در این بخش یاد میگیریم که چگونه اعداد با توان منفی را ضرب کنیم.
توان منفی چیست؟
عدد تواندار منفی یعنی مقلوب یا معکوس عدد تواندار مثبت.
فرمول کلی:

مثالها:

ضرب اعداد تواندار منفی با پایه برابر
وقتی پایهها برابر باشند، قانون همان قانون قبلی است: توانها را جمع میکنیم (حتی اگر منفی باشند):

مثال:

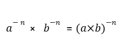
ضرب اعداد تواندار منفی با توان برابر
اگر توانها برابر باشند ولی پایهها متفاوت:

مثال:
![]()
ترکیب مثبت و منفی:
مثال ترکیبی:

نکته مهم:
توان منفی علامت عدد را عوض نمیکند. یعنی:

ضرب عدد تواندار در عدد معمولی
گاهی لازم است یک عدد معمولی (بدون توان) را در یک عدد تواندار ضرب کنیم. برای انجام این کار، کافیست عدد معمولی را به صورت عدد تواندار بنویسیم (در صورت امکان) یا مستقیماً آن را ضرب کنیم.
حالت اول: وقتی پایهها برابرند
اگر عدد معمولی، همان پایه عدد تواندار باشد، میتوان آن را به صورت توان 1 نوشت و بعد از قاعده جمع توانها استفاده کرد:

حالت دوم: پایهها برابر نیستند
اگر عدد معمولی پایهای متفاوت دارد، باید مستقیماً ضرب را انجام دهید:
![]()
جدول زیر خلاصهای از تمام فرمولهایی است که شما برای یادگیری ضرب اعداد تواندار به آن احتیاج دارید.

اشتباهات رایج در ضرب اعداد تواندار
یادگیری قوانین ضرب توانها آسان است، ولی در عمل ممکن است برخی اشتباهات رایج پیش بیاید. در اینجا به چند مورد مهم اشاره میکنیم:
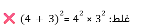
اشتباه ۱: جمع پایهها به جای ضرب
برخی فکر میکنند اگر توانها برابر باشد، باید پایهها را جمع کرد:

اشتباه ۲: جمع توانها وقتی پایهها متفاوتاند
مثلاً:
![]()
درست: فقط زمانی توانها را جمع میکنیم که پایهها یکسان باشند. در اینجا هیچ سادهسازی خاصی وجود ندارد. ✅
اشتباه ۳: نادیدهگرفتن توان منفی
مثلاً:

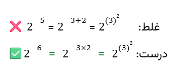
اشتباه ۴: اشتباه در توانِ توان
مثلاً:

این بخشها پایهٔ درک درست و دقیق از ضرب اعداد تواندار هستند و به جلوگیری از خطاهای رایج کمک میکنند.
جمعبندی: ضرب اعداد تواندار
در این مقاله با مفاهیم پایهای و کاربردی مربوط به ضرب اعداد تواندار آشنا شدیم. دانستیم که این نوع اعداد، نقش مهمی در سادهسازی محاسبات عددی و نمایش اعداد بسیار بزرگ یا بسیار کوچک دارند. با بررسی حالات مختلف ضرب، قواعد مشخصی برای ترکیب این اعداد ارائه شد؛ از جمله ضرب اعداد با پایه یکسان، توان یکسان، و حتی توانهای منفی.
شناخت دقیق این قواعد نه تنها در حل مسائل ریاضی سودمند است، بلکه در درک بهتر مفاهیم علمی نیز کاربرد دارد. درک ساختار ضرب در اعداد تواندار، به ما کمک میکند تا با دیدی منظمتر و تحلیلیتر به محاسبات عددی نگاه کنیم و بتوانیم راهحلهای بهینهتری برای مسائل پیدا کنیم.

