مقدمه
ریاضیات دنیای شگفتانگیزی است که قوانین آن مانند یک ماجراجویی اسرار آمیز، ما را از پیچوخم اعداد و روابط بین آنها عبور میدهد. یکی از جذابترین بخشهای ریاضیات، اتحادهای جبری هستند. در این مقاله قصد داریم سفری داشته باشیم به دنیای اتحاد چاق و لاغر، این زوج عجیب و جالب که با ظاهر متفاوتشان، داستانی مشترک را روایت میکنند.
a³+ b³ = ( a + b)(a²- ab + b²)
a³- b³ = ( a – b)(a²+ ab + b²)

آشنایی با اتحادها: سرآغاز ماجرا
اتحادها در ریاضیات، میانبرهایی هستند که با کمک آنها میتوانیم محاسبات پیچیده را سادهتر انجام دهیم. درست مانند کشف یک تونل مخفی که مسیر کوهستانی را کوتاهتر میکند.
اتحادهای مهمی مثل اتحاد مربع دو جملهای، اتحاد مزدوج و اتحاد مکعب دو جملهای را میشناسیم. اما در این میان، اتحاد چاق و لاغر بهخاطر شکل ظاهری جالب و کاربردهای فراوانش، توجه ویژهای را به خود جلب میکند.
اتحاد چاق و لاغر چیست؟
در ریاضی، گاهی اوقات با اعداد بزرگی روبهرو میشویم که محاسبه آنها سخت است. اتحاد چاق و لاغر به ما کمک میکند تا این محاسبات را سادهتر کنیم. این اتحاد به ما میگوید چگونه مجموع یا تفاضل (کمکردن) دو عدد را که به توان سه رسیدهاند، به روشی سادهتر بنویسیم.

شاید برایتان این سوال پیش آمده باشد که چرا به این اتحاد، چاق و لاغر (یا حتی فیل و فنجان) گفته میشود. دلیل این نامگذاری تنها ظاهر این اتحاد است! در حقیقت، یکی از دو پرانتز بزرگتر (چاق) و دیگری کوچکتر (لاغر) به نظر میرسد. تصویر زیر این مفهوم را بهخوبی نمایش میدهد:
فرمولهای اتحاد چاق و لاغر
به طور کلی میتوان گفت که اتحاد چاق و لاغر یک تساوی است که مجموع یا تفاضل دو مکعب را تجزیه میکند. این اتحاد دو فرمول اصلی دارد:
1. مجموع دو مکعب:
اگر دو عدد a و b داشته باشیم، فرمول به این صورت است:
a³+ b³ = ( a + b)(a²- ab + b²)
به زبان ساده، وقتی دو عدد را به توان سه میرسانیم و سپس آنها را با هم جمع میکنیم، میتوانیم نتیجه را به صورت ضرب دو پرانتز بنویسیم. پرانتز اول جمع ساده آن دو عدد است و پرانتز دوم شامل مربعهای آن اعداد و حاصلضرب آنها میشود.
2. تفاضل دو مکعب:
اگر بخواهیم تفاضل (کمکردن) دو عدد به توان سه را پیدا کنیم:
a³- b³ = ( a – b)(a²+ ab + b²)
در اینجا، پرانتز اول تفاضل ساده آن دو عدد است و پرانتز دوم شامل مربعهای آن اعداد و حاصلضرب آنها میشود، با این تفاوت که همه علامتها مثبت هستند.
برای به خاطر سپردن این اتحاد، باید به علامتها دقت کنید. شکل پایینی به شما کمک میکند که به راحتی این اتحاد را در ذهن خود ثبت کنید. (علامتهای موافق در هر دو صورت اتحاد، بهم نزدیک و علامتهای مخالف دور از همدیگر هستند.)

کاربردهای اتحاد چاق و لاغر در زندگی
اتحاد چاق و لاغر نهتنها در کلاسهای درس ریاضی کاربرد دارد، بلکه در زندگی روزمره و بسیاری از علوم و فناوریهای پیشرفته نیز نقش مهمی ایفا میکند. این اتحادها به ما کمک میکنند روابط پیچیدهی ریاضی را به شکل سادهتری بیان کنیم و محاسبات را سریعتر و دقیقتر انجام دهیم.
- در مهندسی و فیزیک، اتحادهای جبری برای تحلیل نیروها، حرکت اجسام و محاسبات مرتبط با شتاب و جابهجایی بسیار مهم هستند. مهندسان هنگام طراحی سازهها، محاسبات مربوط به تنش و کرنش را با کمک این روابط انجام میدهند تا از ایمنی و کارایی سازهها مطمئن شوند.
- در برنامهنویسی و الگوریتمها نیز این اتحادها به سادهسازی معادلات و بهینهسازی کدها کمک میکنند. برنامهنویسان از این روابط برای کاهش پیچیدگی محاسبات در الگوریتمهای ریاضی، گرافیک کامپیوتری و پردازش دادهها استفاده میکنند.
- هوش مصنوعی و یادگیری ماشین نیز از اتحادهای جبری بهره میبرند. الگوریتمهای یادگیری ماشین معمولاً شامل محاسبات سنگین و پیچیدهای هستند که با کمک این اتحادها میتوان آنها را بهینهتر کرد. تحلیل دادهها، طراحی مدلهای پیشبینی و شبکههای عصبی همه به نوعی از این روابط بهرهمند میشوند.

بنابراین، اتحاد چاق و لاغر تنها یک موضوع درسی نیست، بلکه پلی میان دنیای ریاضیات و کاربردهای عملی در تکنولوژی و علوم مهندسی است.
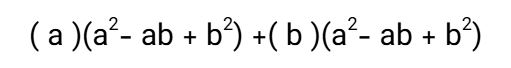
اثبات اتحاد چاق و لاغر ( مجموع مکعب)
![]()
با استفاده از خاصیت توزیعپذیری، سمت چپ عبارت را به صورت زیر مینویسیم:
![]()
حالا a را در پرانتز اول و b را در پرانتز دوم ضرب میکنیم:
![]()
پرانتزها را برمیداریم:
![]()
جملات قرینه را از معادله حذف میکنیم:
a³ + b³
این معادله، به همین سادگی اثبات میشود.
اثبات اتحاد چاق و لاغر ( تفاضل مکعب)
![]()
دقیقا مثل مجموع مکعب این اتحاد، برای اثبات آن با استفاده از خاصیت توزیعپذیری، سمت چپ عبارت را به صورت زیر مینویسیم:
![]()
حالا a را در پرانتز اول و b را در پرانتز دوم ضرب میکنیم:
![]()
پرانتزها را برمیداریم و – در تمام جملات قبل پرانتز دوم ضرب میشود:
a³+ a²b + ab² -a²b – ab² – b³
جملات قرینه را از معادله حذف میکنیم:
a³ – b³
و این معادله هم، به همین سادگی اثبات میشود.
مثالهای زیر را با دقت حل کنید:
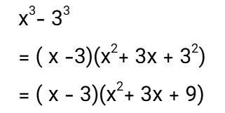
الف) عبارت x³ – 27 را با استفاده از یکی از اتحادها، تجزیه کنید.
حل: با توجه به اگر عدد 3 را به توان 3 برسانیم برابر با 27 است.( یعنی 3³ = 27 ) ، پس این عبارت را میتوانیم با استفاده از اتحاد چاق و لاغر تجزیه کنیم:
a³- b³ = ( a – b)(a²+ ab + b²)
پس:

ب) عبارت 125x³+ 1 را با استفاده از یکی از اتحادها، تجزیه کنید.
حل: با توجه به اگر عدد 1 را به هر توانی برسانیم برابر با 1 است، پس اینجا در نظر میگیریم که 1³ = 1 است. و همچنین 5³ = 125 ، پس این عبارت را باید با استفاده از اتحاد چاق و لاغر تجزیه کنیم:
a³+ b³ = ( a + b)(a²- ab + b²)
پس:

چرا باید اتحاد چاق و لاغر را یاد بگیریم؟
اتحادهای جبری مانند نقشههایی هستند که مسیرهای پیچیده را کوتاه میکنند. یادگیری آنها نهتنها توانایی حل مسائل ریاضی را افزایش میدهد، بلکه مهارت تفکر منطقی و حل مسئله را نیز تقویت میکند.
پس دفعه بعد که با اتحاد چاق و لاغر روبهرو شدید، آنها را مانند دو قهرمان داستانی به یاد بیاورید که هرکدام از زاویهای متفاوت، تلاش میکنند سریعتر حقیقت را آشکار کنند و همه را به جواب صحیح برسانند.
جمعبندی
اتحاد چاق و لاغر یکی از اتحادهای مهم در ریاضیات است که به تجزیه مجموع و تفاضل مکعب دو عدد کمک میکند. این اتحاد به دلیل شکل ظاهری پرانتز هایش( یکی بزرگ و دیگری کوچک) به این نام شناخته شده و محاسبات پیچیده را سادهتر میکند. علاوه بر کاربردهای آموزشی، این اتحاد در مهندسی، فیزیک، برنامهنویسی و حتی هوش مصنوعی نقش مهمی دارد. یادگیری آن نهتنها در حل مسائل ریاضی مفید است، بلکه مهارت تفکر منطقی را نیز تقویت میکند.