پاسخ بخش یادآوری صفحه 114 ریاضی نهم

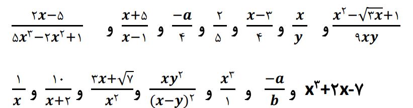
سوال: از عبارتهای گویا در ریاضیات، علوم، پزشکی، مهندسی، اقتصاد و بسیاری از زمینههای دیگر استفاده میشود؛ به طور مثال سرعت متوسط اتومبیلی که مسیری را با سرعت
طی کرده و سپس از همان مسیر با سرعت
بازگشته است، از رابطه
به دست میآید که عبارت گویای جبری است. برخی از مثالهای دیگر از این قرار است:
شمارهت رو وارد کن تا از مطالب جدید جا نمونی!
گام به گام، نمونهسوالات، نکات روانشناسی، برنامهریزی تحصیلی، آزمایشهای علمی و …

با توجه به تعریف بالا عبارتهای زیر گویا هستند:

اما عبارتهای زیر گویا نیستند. (چرا؟)
جواب:
چون چند جملهای نیستند.
ویدئوهای جمعبندی شب امتحان
بیست رو بغل کن!
وای چجوری انقدر کامل توضیح دادین اخه😍😐
🤣👍🏻👍🏻دقیقااا
خوب