مطالبی که در ادامه میخوانید:
پنهان
پاسخ کار در کلاس صفحه 31 ریاضی نهم

سوال: عبارتهای زیر را با هم مقایسه کنید:
جواب:
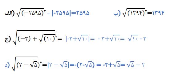
سوال: عبارات زیر را بدون استفاده از قدر مطلق بنویسید:
جواب:

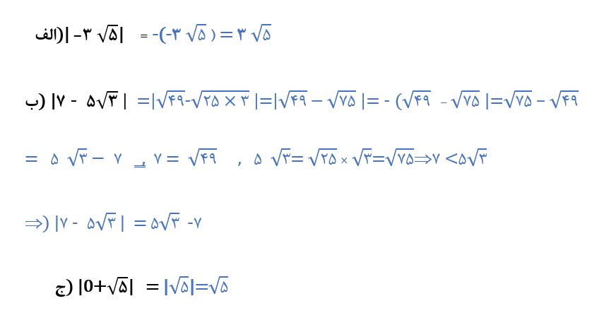
سوال: حاصل عبارات زیر را به دست آورید:
جواب:

پاسخ تمرین صفحه 31 ریاضی نهم

جواب سوال 1:
جواب سوال 2:

جواب سوال 3:

جواب سوال 4:

جواب سوال 5:

جواب سوال 6:

ویدئوهای جمعبندی شب امتحان
بیست رو بغل کن!
خیلی خوب هست20
خیلی خوب هست20