پاسخ فعالیت صفحه 87 ریاضی نهم

سوال : از اتحاد مزدوج در تجزیه عبارتهای جبری نیز استفاده میشود.

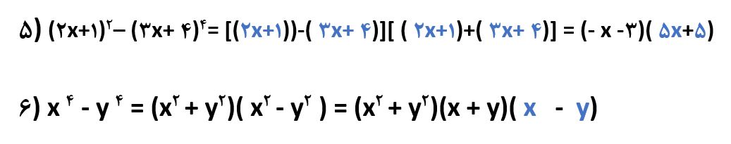
با توجه به این تساوی، جای خالی را پر کنید.
جواب:


پاسخ کار در کلاس صفحه 87 ریاضی نهم


سوال 1: محسن قصد دارد عبارت جبری زیر را تجزیه کند.

محسن با توجه به شکل عبارت جبری به فکر استفاده از اتحاد مزدوج میافتد و این عبارت را به کمک این اتحاد به صورت زیر تجزیه میکند.

به نظر شما، محسن در استفاده از اتحاد مزدوج، A و B را چگونه انتخاب کرده است؟
جواب:

سوال 2: استفاده از اتحادها، میتواند بعضی از محاسبات به ظاهر مشکل را ساده کند. به کمک اتحادها، تساویهای زیر را کامل کنید.

در بالا جواب فعالیت و کار در کلاس صفحه 87 ریاضی نهم را بررسی کردیم. در ادامه میتوانید از جواب فعالیت و کار در کلاس صفحه 86 ریاضی و جواب فعالیت صفحه 88 استفاده نمایید.
فیلم بزارید لطفا
فیلم بزارید لطفا
فیلم نزارید