پاسخ تمرین صفحه 85 ریاضی نهم
سوال 1: عبارتهای جبری زیر را ساده کنید.
جواب:

سوال 2: محیط و مساحت هر شکل را بیابید.
جواب:

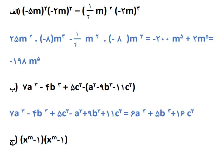
سوال 3: طرف دیگر عبارتهای زیر را با استفاده از اتحادها به دست آورید.
جواب: 
سوال 4: به کمک اتحاد مربع دوجملهای، درستی تساویهای زیر را ثابت کنید.
جواب:

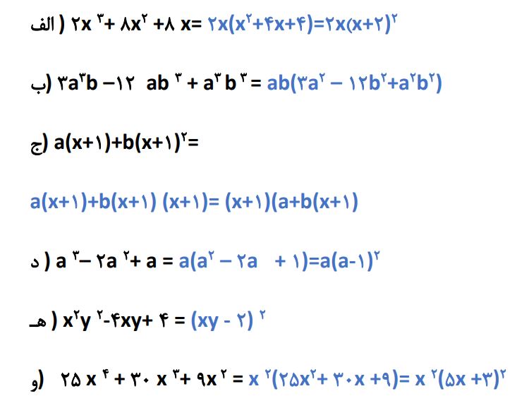
سوال 5: عبارتهای جبری زیر را تجزیه کنید.
جواب: 
سوال 6: ![]()
جواب:

در بالا جواب تمرین صفحه ۸۵ ریاضی نهم را بررسی کردیم. در ادامه میتوانید از جواب کار در کلاس صفحه ۸۴ ریاضی و جواب فعالیت و کار در کلاس صفحه 86 استفاده نمایید.
ویدئوهای جمعبندی شب امتحان
بیست رو بغل کن!
ممنون خیلی عالی بود لطفا نکات ریاضی رو هم بزارین ممنون میشیم 💐💐💐🌺🌺🌺
سلام من خیلی ممنون ازتون
سلام ممنون عالی
خیلی ممنون اگر امکانش هست توضیح بیشتری دهید
خواهشا بیشتر فعالیت کنید چون سایت های نامعتبر هستند که اطلاعات اشتباه در اختیار دانش اموزان میزارن ولی با اطمینان به فیلیمو مدرسه که یک سایت رسمی و خیلی معروف دانش اموزان به یک منبع درست دسترسی دارند و پیشرفت میکنن❤️❤️❤️
خواهشا بیشتر فعالیت کنید چون سایت های نامعتبر هستند که اطلاعات اشتباه در اختیار دانش اموزان میزارن ولی با اطمینان به فیلیمو مدرسه که یک سایت رسمی و خیلی معروف دانش اموزان به یک منبع درست دسترسی دارند و پیشرفت میکنن❤️❤️
خیلی عالی بود مرسی از شما
خیلی خوب و عالی و پر کاربرد بود🌼👌
عالی بود خیلی ممنون
عالی بود
عالی بود
عالی
خیلی خوب بود
بی نظیر
خیلی خیلی عالی بود
خیلی عالی بود
عالی..
ولی حوصلم از ریاضی سر رفته😥🎃