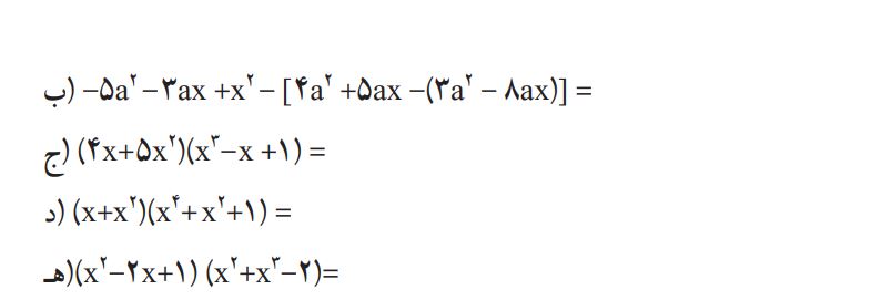
پاسخ کار در کلاس صفحه 80 ریاضی نهم

سوال: عبارتهای جبری زیر را ساده و سپس آنها را نسبت به توانهای نزولی x مرتب کنید.
جواب:

در بالا جواب کار در کلاس صفحه 80 ریاضی نهم را بررسی کردیم. در ادامه میتوانید از جواب فعالیت صفحه 79 ریاضی و جواب فعالیت صفحه 81 استفاده نمایید.
ویدئوهای جمعبندی شب امتحان
بیست رو بغل کن!