ریاضی هشتم صفحه 108

پاسخ کار در کلاس صفحه 108 ریاضی هشتم

کار در کلاس صفحه 108 ریاضی هشتم

سوال 1: حاصل هر یک از تقسیم‌های زیر را به صورت عدد توان‌دار بنویسید.

جواب:

پاسخ سوال 1 کار در کلاس صفحه 108 ریاضی هشتم

icon
شماره‌ت رو وارد کن تا از مطالب جدید جا نمونی!


گام به گام، نمونه‌سوالات، نکات روانشناسی، برنامه‌ریزی تحصیلی، آزمایش‌های علمی و …


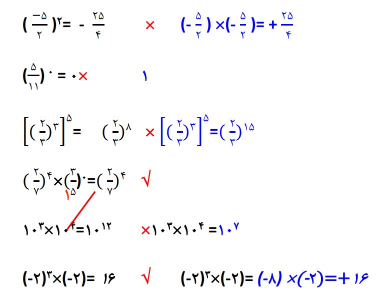
سوال 2: عبارت‌های زیر را ساده کنید و در صورت امکان پاسخ را به صورت عدد توان‌دار بنویسید.

جواب:

پاسخ سوال 2 کار در کلاس صفحه 108 ریاضی هشتم

پاسخ تمرین صفحه 108 ریاضی هشتم

تمرین صفحه 108 ریاضی هشتم تمرین صفحه 108 ریاضی هشتم

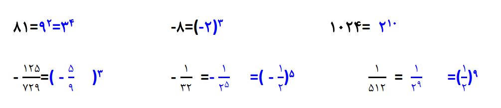
سوال 1: هر یک از عددهای زیر  را به صورت یک عدد توان‌دار بنویسید.

جواب:پاسخ سوال 1 تمرین صفحه 108 ریاضی هشتم

سوال 2: کدام عبارت‌های زیر درست و کدام نادرست‌اند؟ توضیح دهید.

جواب:

پاسخ سوال 2 تمرین صفحه 108 ریاضی هشتم

سوال 3: حاصل هر عبارت را به صورت عددی توان‌دار بنویسید.

جواب:

پاسخ سوال 3 تمرین صفحه 108 ریاضی هشتم

سوال 4: در جاهای خالی عدد مناسب بگذارید.

جواب:

پاسخ سوال 4 تمرین صفحه 108 ریاضی هشتم

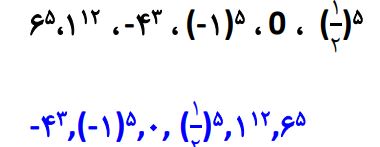
سوال 5: عددهای زیر را از کوچک‌ترین تا بزرگ‌ترین و به ترتیب از چپ به راست مرتب کنید.

جواب:

پاسخ سوال 5 تمرین صفحه 108 ریاضی هشتم پاسخ سوال 5 تمرین صفحه 108 ریاضی هشتم

سوال 6: کدام تساوی‌های زیر درست و کدام نادرست‌اند؟

جواب:

پاسخ سوال 6 تمرین صفحه 108 ریاضی هشتم

سوال 7: حاصل عبارت‌های زیر را به دست آورید.

جواب:

پاسخ سوال 7 تمرین صفحه 108 ریاضی هشتم

سوال 8: نصف ۲۹ و ربع ۴۷ را به صورت عددهای توان‌دار بنویسید.

جواب:

پاسخ سوال 8 تمرین صفحه 108 ریاضی هشتم

ویدئوهای جمع‌بندی شب امتحان بیست رو بغل کن!
ممکن است شما دوست داشته باشید
ارسال نظر

آدرس ایمیل شما منتشر نخواهد شد.

ویدئوهای جمع‌بندی شب امتحان
بیست رو بغل کن!