مطالبی که در ادامه میخوانید:
پنهان
پاسخ کار در کلاس صفحه 83 ریاضی نهم


سوال 1: حاصل عبارتهای زیر را با توجه به اتحاد مربع دو جملهای به دست آورید.
جواب:

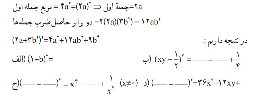
سوال 2: جاهای خالی را با توجه به نمونه پُر کنید.
جواب:

پاسخ فعالیت صفحه 83 ریاضی نهم


سوال: چند جملهای های زیر را مانند نمونه تجزیه کنید:

جواب:

در بالا جواب کار در کلاس و فعالیت صفحه 83 ریاضی نهم را بررسی کردیم. در ادامه میتوانید از جواب فعالیت صفحه 81 ریاضی و جواب کار در کلاس صفحه 84 استفاده نمایید.
فیلیمومدرسه، کمکدرسی آنلاین
ثبتنام