پاسخ کار در کلاس صفحه 76 ریاضی نهم

سوال: مخرج کسرهای زیر را گویا کنید.
جواب:

پاسخ تمرین صفحه 76 ریاضی نهم

سوال 1: عبارتهای زیر را ساده کنید.
جواب:

سوال 2: ![]()
جواب:

سوال 3: ![]()
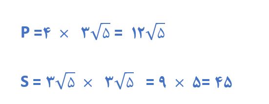
جواب:

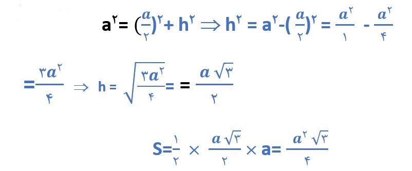
سوال 4: شکل مقابل یک مثلث متساویالاضلاع را به ضلع a نشان می دهد. اندازه ارتفاع h را بر حسب a به دست آورید؛ سپس مساحت آن را بر حسب a بنویسید.

جواب:

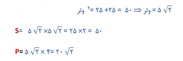
سوال 5: نقاط Q, P, N.M وسط های اضلاع مربع ABCD هستند. اگر مساحت مربع ABCD، 100 متر مربع باشد، محیط مربع MNPQ چقدر است؟

جواب:

سوال 6: در جاهای خالی علامت < یا = یا > بگذارید:
جواب:

سوال 7: در جاهای خالی عدد مناسب بنویسید:
جواب:

سوال 8: مخرج کسرهای زیر را گویا کنید.
جواب:

سوال 9: ![]()
الف) تساوی همیشه درست است. ب) تساوی همیشه نادرست است.
ج) اگر X ≥ 0 تساوی درست است.
جواب:
برای X ≥ 0 پاسخ صحیح میباشد. برای x < 0 چون عدد زیر رادیکال در طرف راست این رابطه، منفی میشود، پاسخ حقیقی ندارد.
در بالا جواب کار در کلاس و تمرین صفحه 76 ریاضی نهم را بررسی کردیم. در ادامه میتوانید از جواب کار در کلاس و فعالیت صفحه 75 ریاضی و جواب فعالیت صفحه 79 استفاده نمایید.
سلام
خیلی خوب بود