پاسخ کار در کلاس صفحه 69 ریاضی نهم

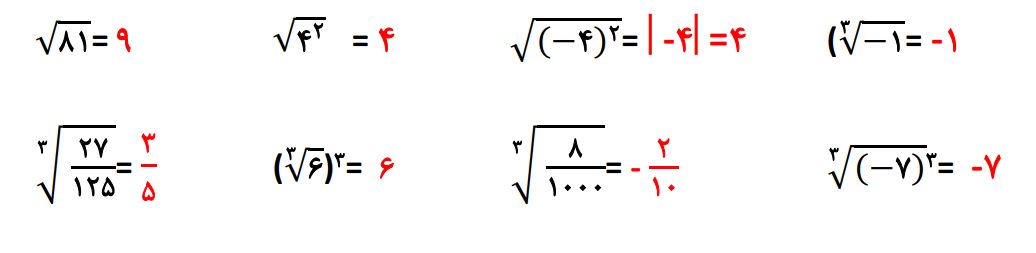
سوال 1: حاصل هر عبارت را به دست آورید:
جواب:

سوال 2: ![]()
جواب:

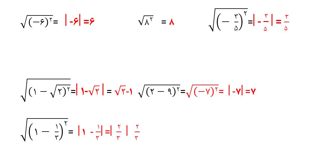
سوال 3: ![]()
جواب:

در بالا جواب کار در کلاس صفحه 69 ریاضی نهم را بررسی کردیم. در ادامه میتوانید از جواب فعالیت صفحه 68 ریاضی و جواب فعالیت و کار در کلاس صفحه 70 استفاده نمایید.
ویدئوهای جمعبندی شب امتحان
بیست رو بغل کن!