پاسخ تمرین صفحه 67 ریاضی نهم

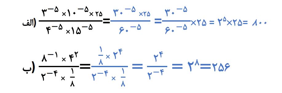
سوال 1: حاصل عبارتهای زیر را به دست آورید:
جواب:

سوال 2: کدام یک درست و کدام یک نادرست است؟
جواب:

سوال 3: شعاع خورشید تقریباً 695000 کیلومتر است؛ این عدد را با نماد علمی نمایش دهید.
جواب:

سوال 4: اندازه یک باکتری 0/0000005 متر است؛ این عدد را با نماد علمی نمایش دهید.
جواب:

سوال 5: 
جواب:

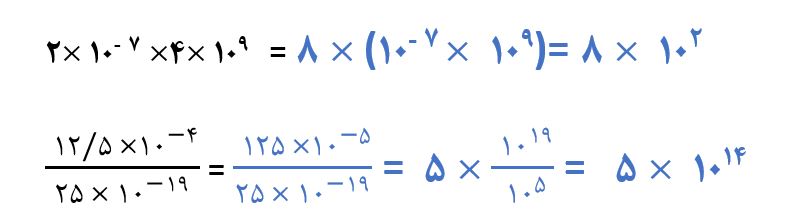
سوال 6: حاصل عبارتهای زیر را به دست آورید و به صورت نماد علمی نمایش دهید:
جواب:

سوال 7: 
جواب:

فاصله کیوان بیشتر است. بنابراین مریخ به زمین نزدیکتر است.
سوال 8: در جاهای خالی حداقل ۳ عدد صحیح مختلف قرار دهید تا نامساوی درست باشد.
جواب:
![]()
در جای خالی میشود اعداد ۱– و ۱ و ۲ را قرار داد.

در جای خالی میشود اعداد ۱– و ۲– و ۳– را قرار داد.
سوال 9: عددهای زیر را از کوچک به بزرگ مرتب کنید:
جواب:

در بالا جواب تمرین صفحه 67 ریاضی نهم را بررسی کردیم. در ادامه میتوانید از جواب کار در کلاس صفحه 66 ریاضی و جواب فعالیت صفحه 68 استفاده نمایید.