پاسخ تمرینهای ترکیبی صفحه 118 ریاضی هشتم

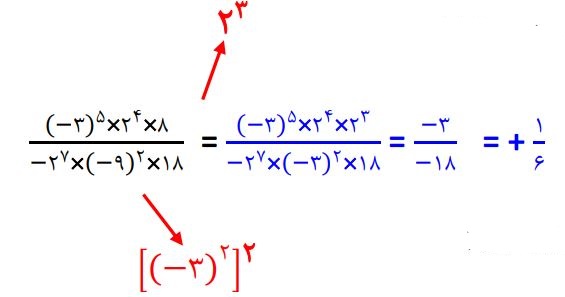
سوال 1: حاصل عبارت مقابل را به دست آورید؟
جواب:

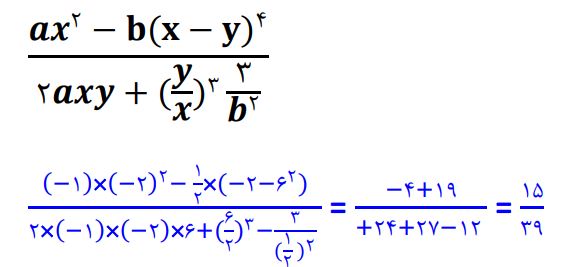
سوال 2: حاصل تقسیم مقابل را به دست آورید.
جواب:

سوال 3: با تهیه جدول مناسب، جذر عدد 93 را تا دو رقم اعشار به دست آورید.
جواب:

با توجه به جدول زیر پاسخ را به دست میآوریم. 
شمارهت رو وارد کن تا از مطالب جدید جا نمونی!
گام به گام، نمونهسوالات، نکات روانشناسی، برنامهریزی تحصیلی، آزمایشهای علمی و …
سوال 4: عددهای زیر را به ترتیب صعودی و از چپ به راست مرتب کنید.
جواب:

سوال 5: به کمک رسم، مکان متناظر با عددهای زیر را روی محور اعداد مشخص کنید.
جواب:

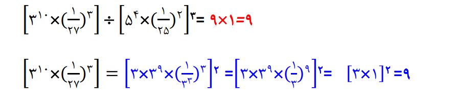
سوال 6: ![]()
جواب:

ویدئوهای جمعبندی شب امتحان
بیست رو بغل کن!
خیلی خیلی سخت است