پاسخ کار در کلاس صفحه 107 ریاضی هشتم

سوال 1: حاصل هر یک از عبارتهای زیر را به صورت عددی تواندار بنویسید.
جواب:

سوال 2: جاهای خالی را با عدد مناسب پر کنید.
جواب:

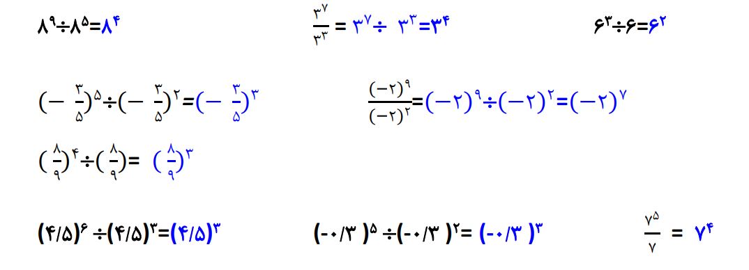
سوال 3: حاصل را به صورت یک عبارت تواندار بنویسید.
جواب:
![]()
گام به گام، نمونهسوالات، نکات روانشناسی، برنامهریزی تحصیلی، آزمایشهای علمی و …
پاسخ فعالیت صفحه 107 ریاضی هشتم

سوال : مثالهای داده شده را مطالعه کنید و با پر کردن جاهای خالی توضیح دهید که پاسخ هر یک از تقسیمها چگونه به دست آمده است.
جواب:

سوال :
اکنون، برای تقسیم دو عدد تواندار با توانهای مساوی، قانون زیر را کامل کنید.
در تقسیم اعداد تواندار با توانهای مساوی یکی از توانها را نوشته و پایهها را بر هم تقسیم میکنیم.
به کمک قانونی که نوشتهاید، حاصل تقسیمهای زیر را به صورت عددی تواندار بنویسید.
جواب:![]()
سوال: اکنون قانون فوق را با نمادهای ریاضی هم نشان دهید.
A و b دو عدد دلخواه و m یک عدد طبیعی و ۰≠ b
جواب:
