پاسخ فعالیت صفحه 90 ریاضی هشتم

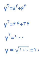
سوال 1:
اندازه ضلعها و زاویههای دیگر را به دست آورید. درباره رابطههایی که از آنها در این دو سوال استفاده کردهاید با هم گفت و گو کنید.
جواب:

شمارهت رو وارد کن تا از مطالب جدید جا نمونی!
گام به گام، نمونهسوالات، نکات روانشناسی، برنامهریزی تحصیلی، آزمایشهای علمی و …
سوال 2: چهار ضلعی DEFG را نسبت به خطی افقی قرینه کردهایم و چهار ضلعی HIJK را به دست آورهایم. اندازه برخی از ضلعها و زاویهها معلوم است. اندازه ضلعها و زاویههای دیگر این چهار ضلعی را به دست آورید.
جواب: 
سوال 3: 
جواب:

ویدئوهای جمعبندی شب امتحان
بیست رو بغل کن!