مطالبی که در ادامه میخوانید:
پنهان
پاسخ فعالیت صفحه 14 ریاضی هشتم

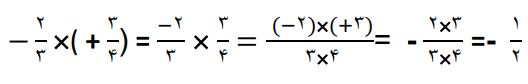
سوال 1: مانند نمونه، ضرب عددهای گویا را به ضرب عددهای صحیح تبدیک کنید. با توجه به حاصل عبارتها، جدول را برای ضرب دو عدد گویا کامل کنید.
جواب:


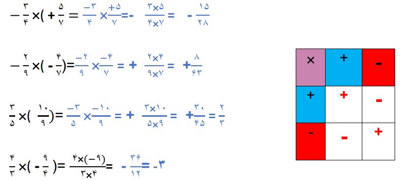
سوال 2: با توجه به جدول بالا، ابتدا علامت حاصل ضرب را تعیین کنید؛ مانند نمونه با ضربِ کسرها حاصل را پیدا کنید.
جواب:

پاسخ کار در کلاس صفحه 14 ریاضی هشتم

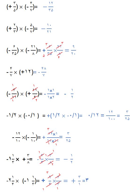
سوال : با توجه به نتیجهای که از فعّالیت قبل گرفتهاید، حاصل عبارتهای زیر را به دست آورید.
جواب :

ویدئوهای جمعبندی شب امتحان
بیست رو بغل کن!