پاسخ فعالیت صفحه 12 ریاضی هشتم

سوال 1: برای هر کدام از محورها یک تساوی جمع بنویسید.
جواب:

ادامه سوال 1: حاصل عبارت روبه رو را به دست آورید و با حاصل جمع بالا مقایسه کنید.
جواب:

حاصل یکسان است.
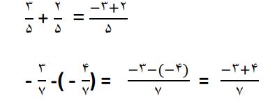
ادامه سوال 1: با توجه به تساوی زیر، توضیح دهید که چگونه می توانیم حاصل جمع و تفریق دو عدد گویا را با استفاده از جمع و تفریق دو عدد صحیح به دست آوریم.
جواب:

زمانی که مخرجها برابر باشد مانند جمع و تفریق اعداد صحیح عمل میکنیم.

سوال 2: مانند نمونه، ابتدا مخرجها را یکی کنید؛ سپس، جمع و تفریقها را انجام دهید.
جواب:

پاسخ کار در کلاس صفحه 12 ریاضی هشتم


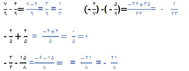
سوال 1: مانند نمونه، حاصل هر یک از عبارتها را به دست آورید.
جواب:



سوال 2: حاصل عبارتهای زیر را به دست آورید.
جواب:

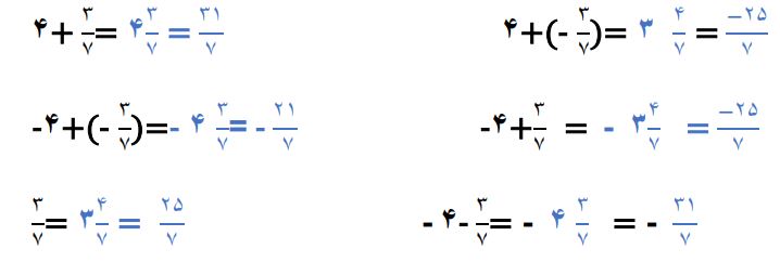
ادامه سوال 2: حالا مانند نمونه، هر عدد مخلوط را به صورت دو عدد صحیح و کسری درآورید و با هم جمع کنید.
جواب:
![]()