پاسخ بخش راهبرد حل مسئله سادهتر صفحه 8 ریاضی هفتم



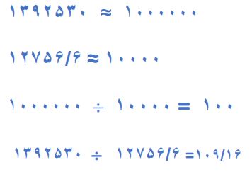
سوال 1: قطر خورشید ۱۳۹۲۵۳۰ کیلومتر و قطر زمین 12756/6 کیلومتر است. قطر خورشید تقریباً چند برابر قطر زمین است؟
برای ساده شدن مسئله بهتر است از عددهای سادهتر (برای مثال تقریبی از عدد) استفاده کنید.
1000.000 ≅ 1392530
خلاصه مسئله ساده شده را بنویسید و پاسخ دهید. ≅ 12756/6
جواب:


سوال 2: حاصل عبارت مقابل را بهدست آورید. 
به جای حل کردن عبارت بالا، ابتدا ساده شدهٔ این مسئله را حل کنید. در پاسخها چه الگو و رابطهای تشخیص میدهید که به کمک آن بتوانید پاسخ مسئلهٔ اصلی را بدون محاسبه بنویسید؟
جواب:

جواب یک کسر است که مخرج آن مخرج آخرین کسر و صورت آن یک واحد کمتر از مخرج است.
سوال 3: اگر ۱۰ نقطه را که هیچ سهتای آنها روی یک خط نیستند، دو به دو به هم وصل کنیم؛ چند پاره خط به وجود میآید؟
جواب:
۴۵ پارهخط
ادامه سوال 3: تعداد پارهخطها در واقع مجموع تعداد ضلعها و تعداد قطرهاست. یک الگو پیدا کنید و برای ۱۰ نقطه نتیجهگیری کنید.
جواب:

